阀门技术知识:大口径阀门开关困难的解决方法
一般情况下,一位普通成人的水平极限输出力为60-90kg,在进行阀门安装时,普通截止阀的流向设 计为低进高出,当人对阀门停止关闭时,人体程度推进手轮转动,使阀瓣向下运动,完成关闭,这时候 对于一些大口径阀门开关难以控制,今天武汉永诚瑞阀门就来跟大家讲讲阀门技术知识之大口径阀门开关困难的解决方法。其实对于解决方法,需求克制只有三点 :

1.大口径阀门开关困难原因分析:
一般成人的水平极限输出力为60-90kg,视不同体质而言。
一般截止阀的流向设计为低进高出,当人对阀门进行关闭时,人体水平推动手轮转动,使阀瓣向下运动,实现关闭,这时需要克服三个方面的力的组合,即:
1) 轴向顶推力Fa;
2) 填料与阀杆磨擦力Fb;
3) 阀杆与阀瓣芯部接触摩擦力Fc;
力矩总合为∑M=(Fa+Fb+Fc)R
可以看出口径越大,轴向顶推力也越大,当接近关闭状态时,轴向顶推力几乎接近管网实际压力(因关闭时P1-P2≈P1,P2=0)。
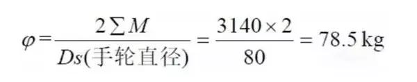
如一个DN200口径的截止阀用于10bar的蒸汽管上,其仅第一项关闭轴向顶推力
Fa=10×πr2=3140kg,而关闭所需的水平圆周力为:

已接近正常人体所能输出水平圆周力的极限,所以由一个人在这种工况下完全关闭此阀是非常困难的。当然有的工厂建议将这类阀门反向安装,解决了难以关闭的问题,但又出现了关闭后难以打开的问题。
2.大口径截止阀易出现内漏的原因分析:
大口径截止阀一般应用在锅炉出口、主分汽缸、蒸汽主管等位置,这些位置存在以下问题:
1)锅炉出口一般压差比较大,因此蒸汽流速也更大,对密封面的冲蚀破坏作用也较大。另外锅炉燃 烧效率不可能为100%,这样将造成锅炉出口处的蒸汽含水量较大,容易对阀门密封面产生空化和汽蚀的 破坏作用。
2)对锅炉出口及分汽缸附近的截止阀,因为刚从锅炉出来的蒸汽,有间断性过热现象发生,在其饱 和的过程中,若锅炉水软化处理不是太好的话,往往会析出部分酸碱物质,对密封面会造成腐蚀和冲蚀 ;还有一些可结晶的物质也可能附着在阀门密封面结晶,导致阀门无法严密密封。
3)分汽缸进出口阀门,因阀后蒸汽用量因生产要求等原因而造成用汽量时大时小,在流速变化较大 的情况下,很容易产生闪蒸、空化等现象,从而对阀门密封面造成冲蚀、汽蚀等破坏作用。
4)一般大管径管线开启时,都需要对管线进行预热,而预热过程一般要求很小流量蒸汽通过,使管 线缓慢均匀加热到一定程度后,才能完全开启截止阀,避免造成管线急速升温而产生过度膨胀,损坏部 分连接部位。但在这过程中,阀门开度往往非常小,从而造成冲蚀率远远大于正常使用效果,严重降低 阀门密封面的使用寿命。
3.大口径截止阀开关困难解决方法:

1)首先建议选择波纹管密封截止阀,避免了柱塞阀、填料阀摩擦阻力影响,开关更轻松;
2)阀芯阀座一定要选择耐冲蚀、磨损性能好的材质,如司太立硬质合金;
3)建议采用双阀瓣结构,不因小开度而造成过度冲蚀,影响使用寿命及密封效果。
好了,永诚瑞阀门关于阀门技术知识大口径阀门开关困难的解决方法的介绍就到这里了。其实对于解决方法,因人而异,慢慢琢磨,熟能生巧,希望能在工程施工中对大家起到有益效果!
武汉阀门厂家:http://www.whycr.com/





